Famous Socso Caruman References

The Use Of New Identity Card (Ic) No.


6) sila pastikan tulisan/angka/cap tidak menyentuh. The company will pay 1.75% while the staff/workers’ will contribute 0.5% of their wages for the employment injury insurance scheme and the. Mozilla firefox and google chrome.

Buat Pindaan Di Borang Ini, Sila Beritahu Perkeso.


4) jika tiada caruman sebab cuti tanpa gaji masukkan. Tuntutlah sekiranya anda layak menerimanya. The government has provided social security.

Ramai Mencarum Socso Tapi Tak Tahu Mencarum Apa.


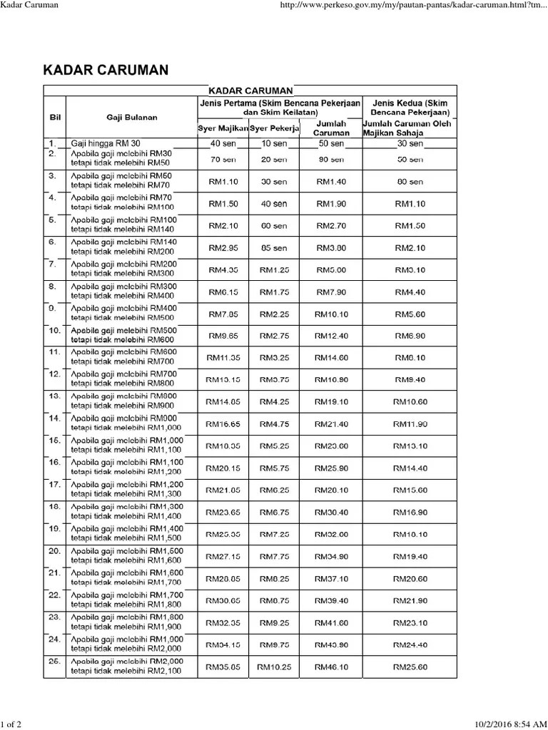
We notice you are outside the united kingdom. Website updated on 22 april 2022. Untuk pekerja yang berumur kurang daripada 60 tahun, caruman kena dibayar oleh majikan dan pekerja adalah untuk skim bencana pekerjaan dan skim keilatan.kadar caruman di bawah jenis ini adalah terdiri daripada 1.75% syer majikan dan 0.5% syer pekerja berdasarkan gaji bulanan pekerja itu, mengikut kadar jadual caruman yang telah ditetapkan.

Matrix Ialah Satu Projek Yang Inovatif Yang Diusahakan Oleh Perkeso (Pertubuhan Keselamatan Sosial).


Tarikh bayaran elaun oku 2020. Tarikh bayaran elaun oku 2020. Contribution table and rates (socso contribution chart) are a company socso contribution table that has to contribute socso and rates as rates by law.

All Renumeration Or Wages Stated Below And Payable To Staff/Workers Are Subject To Socso Contributions:


The percentage of socso contribution shall between 3% to 5% of the employee salary vary accordingly to the employee salary amount. Perhatian caruman sistem insurans pekerjaan (sip) wajib dibayar mulai jan log masuk. Nombor ahli perkeso anda adalah nombor kad pengenalan yang dikeluarkan oleh jabatan pendaftaran.